Średnia ważona - jak obliczyć? Średnia ważona arytmetyczna, geometryczna, harmoniczna, potęgowa

Średnia ważona to jedno z zagadnień matematycznych, które przysparza niemałych trudności przy obliczeniu. Z tego artykułu dowiesz się, jak poprawnie ją wyliczyć, a także czym różnią się średnia ważona arytmetyczna od geometrycznej, harmonicznej i potęgowej oraz za pomocą jakich wzorów można je obliczyć.

Średnia ważona - jak obliczyć?Średnia ważona - jak obliczyć?
Źródło zdjęć: © 123RF

Średnia ważona - definicja

Zacznijmy od wyjaśnienia, co kryje się pod tym matematycznym pojęciem.

Średnia ważona jest to średnia składowych, którym przypisujemy różne znaczenie w ten sposób, aby te elementy, które mają większą wagę, miały większy wpływ na całą średnią.

Jeśli wszystkie dostępne nam elementy mają taką samą wagę, a więc takie samo znaczenie, to wówczas średnia ważona jest równa średniej wyjściowej (inaczej nazywanej średnią bazową).

Średnia ważona może być liczona na różne sposoby (np. jako średnia geometryczna lub arytmetyczna), stąd też wzór na jej obliczenie jest uznależniony od jej rodzaju.

Ważne jest, aby zapamiętać, że średnia ważona może dać poprawny wynik tylko wówczas, gdy wagi są wzajemnie nieskorelowane, a więc nie są od siebie zależne.

Taki problem może pojawić się przy liczeniu niepewności pomiarowej.

Wtedy liczymy średnią z serii M wartości Yi = f(X1,X2...XN).

Średnia arytmetyczna z Yi (i=1,2,...,M) oraz średnia ważona z wagami, które są równe niepewnościom cząstkowym u(Yi) w potędze -1, mogą dać różne wyniki.

Średnią ważoną najlepiej stosować do obliczania wartości średniej oraz jej niepewności tam, gdzie wszystkie Xij są niezależne, np. wielkości Yi zostały zmierzone na innym sprzęcie, w innym laboratorium i w innych warunkach. Jeśli nie mamy takich niezależności, powinniśmy zastosować inną średnią.

Średnia ważona arytmetyczna - wzór

Aby obliczyć średnią arytmetyczną należy posłużyć się następującym wzorem:

Wzór na średnią arytmetyczną
Wzór na średnią arytmetyczną

Ważne!

Dane o większej wadze, są bardziej istotne przy określeniu średniej ważonej niż te o mniejszej wadze. Ale jeśli wagi są równe, to średnia ważona równa jest średniej arytmetycznej. Zauważmy, że średnia ważona wykazuje podobne cechy do średniej arytmetycznej, jednak ma ona kilka sprzecznych własności (np. paradoks Simpsona).

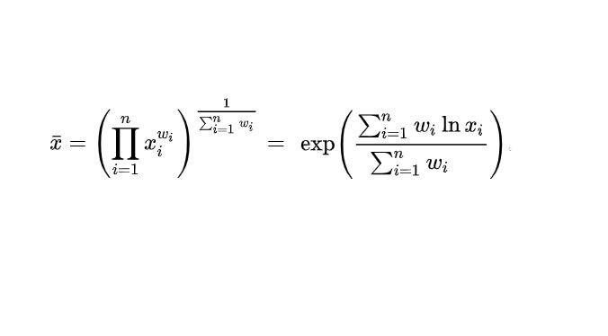
Średnia ważona geometryczna - wzór

Możemy obliczyć także średnią ważoną geometryczną. Wyliczamy ją ze wzoru:

Średnia ważona geometryczna
Średnia ważona geometryczna

Gdy wszystkie nasze wagi są równe, to średnia ważona geometryczna jest równa średniej geometrycznej.

Średnia ważona harmoniczna - wzór

Średnią ważoną harmoniczną wyliczamy ze wzoru:

Średnia ważona harmoniczna
Średnia ważona harmoniczna

Kiedy wagi są równe, wówczas średnia ważona harmoniczna równa się średniej harmonicznej.

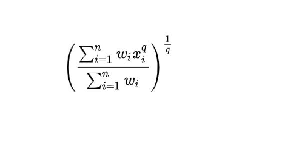
Średnia ważona potęgowa - wzór

Aby obliczyć wariant ważony dla średniej potęgowej dowolnego rzędu rzeczywistego niezerowego q, musimy posłużyć się wzorem:

Ważona średnia potęgowa
Ważona średnia potęgowa

Średnia potęgowa ważona dla rzędu 0 jest opisana powyżej ważonej średniej geometrycznej. Z kolei dla rzędów +/- ∞ wprowadzenie wag nie ma znaczenia dla wartości średniej.

Dla rzędu -1 średnia jest średnią ważoną harmoniczną, natomiast dla rzędu 2 średnia jest średnią ważoną kwadratową.

Wybrane dla Ciebie
Bezpieczny przyjaciel dziecka. Redakcja testuje lampkę Rabbit & Friends: Miś Duży, Świecący w Ciemności
Bezpieczny przyjaciel dziecka. Redakcja testuje lampkę Rabbit & Friends: Miś Duży, Świecący w Ciemności
Pierwsza taka "karcianka". Moc zabawy dla całej rodziny
Pierwsza taka "karcianka". Moc zabawy dla całej rodziny
Redakcja testuje wyjątkową lampkę. Miś Chrapuś oddycha wraz z dzieckiem i przyjemnie wycisza
Redakcja testuje wyjątkową lampkę. Miś Chrapuś oddycha wraz z dzieckiem i przyjemnie wycisza
Śniadaniówki polskich uczniów pod lupą. Woda i kanapki na plus, ale warzywa wciąż w tyle
Śniadaniówki polskich uczniów pod lupą. Woda i kanapki na plus, ale warzywa wciąż w tyle
Magnetyczna frajda dla maluchów. Sprawdziliśmy klocki SmartMax
Magnetyczna frajda dla maluchów. Sprawdziliśmy klocki SmartMax
Lampka w pokoju dziecka: mały detal, a robi wielką różnicę. Sprawdzamy modele Mary’s
Lampka w pokoju dziecka: mały detal, a robi wielką różnicę. Sprawdzamy modele Mary’s
Konkurs "Świat Przyjazny Dziecku" rozstrzygnięty. Kapituła wybrała laureatów XXIV edycji
Konkurs "Świat Przyjazny Dziecku" rozstrzygnięty. Kapituła wybrała laureatów XXIV edycji
"Mózgi są zalewane smartfonową dopaminą". Ważne wyniki badania
"Mózgi są zalewane smartfonową dopaminą". Ważne wyniki badania
Kreatywność nie ma ograniczeń. Kort tenisowy zamieniony w Świąteczną Strefę Zabawy
Kreatywność nie ma ograniczeń. Kort tenisowy zamieniony w Świąteczną Strefę Zabawy
"Survival rodzicielski". Zakupy z dziećmi bywają wyzwaniem. Jak sobie z tym radzić?
"Survival rodzicielski". Zakupy z dziećmi bywają wyzwaniem. Jak sobie z tym radzić?
Rodzice i dzieci mijają się w rozmowie. Kampania Mów Do Mnie #TokTuMi pokazuje skalę problemu
Rodzice i dzieci mijają się w rozmowie. Kampania Mów Do Mnie #TokTuMi pokazuje skalę problemu
Odkryli jedną z możliwych przyczyn poronień. Naukowcy wskazali na rolę metabolizmu
Odkryli jedną z możliwych przyczyn poronień. Naukowcy wskazali na rolę metabolizmu