WAŻNE
TERAZ

Jest oświadczenie Ziobry. Wystąpił zdalnie

Pierwiastki - jak obliczyć pierwiastek z liczby? Najważniejsze wzory

Pierwiastki spędzają sen z powiek niejednemu uczniowi. Czy rzeczywiście pierwiastkowanie jest trudne? Niekoniecznie, pod warunkiem, że zapamiętamy jedną regułę: by obliczyć pierwiastek z danej liczby, musimy znaleźć liczbę, która podniesiona do potęgi drugiej, daje liczbę pod pierwiastkiem. Brzmi skomplikowanie? Sprawdźmy, jak to działa na przykładach.

Jak obliczyć pierwiastki? PodpowiadamyJak obliczyć pierwiastki? Podpowiadamy
Źródło zdjęć: © 123rf

Pierwiastkowanie - co to jest?

Pierwiastkowanie to odwrotne działanie do potęgowania. Aby zrozumieć, czym są pierwiastki, jak wygląda ich zapis i jak je obliczyć, zaczniemy od wyjaśnienia, co oznaczają poszczególne symbole i omówienia najważniejszych wzorów.

Podstawowy wzór na pierwiastki to:

Powyższy zapis odczytujemy:

Wzór na obliczenie pierwiastka
Wzór na obliczenie pierwiastka

Pierwiastek n-tego stopnia z liczby a równa się b, gdy b do potęgi n-tej równe jest a".

W tym zapisie:

n – to stopień pierwiastka,

a – liczba podpierwiastkowa,

b – pierwiastek n-tego stopnia z liczby a, wynik pierwiastkowania.

Pierwiastki możemy także określić dla liczb zespolonych.

W matematyce wyższej pierwiastki zespolone z jedynki odgrywają bardzo istotną rolę.

Pierwiastki z jedynki nazywamy także liczbami de Moivre’a dla uhonorowania francuskiego matematyka Abrahama de Moivre’a.

Pierwiastki n-tego stopnia z jedności są na płaszczyźnie zespolonej wierzchołkami wielokąta foremnego o n bokach, które są wpisane w okrąd jednostkowy. Jego jeden wierzchołek leży w punkcie 1.

Pierwiastki n stopnia z 1 na płaszczyźnie zespolonej
Pierwiastki n stopnia z 1 na płaszczyźnie zespolonej © Wikipedia

Wierzchołki dzielą okąg na n równych części.

Pierwiastki - ważne wzory

Obliczanie pierwiastka z danej liczby to dopiero początek. Poniżej przeanalizujmy inne istotne wzory związane z pierwiastkowaniem.

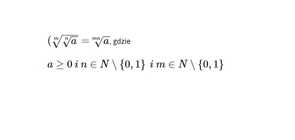
Wzór na pierwiastek pierwiastka:

Wzór na pierwiastek pierwiastka
Wzór na pierwiastek pierwiastka

Z poniższego wynika, że a to liczba większa lub równa 0. Z kolei n i m są liczbami naturalnymi (z wyjątkiem liczb 0 i 1).

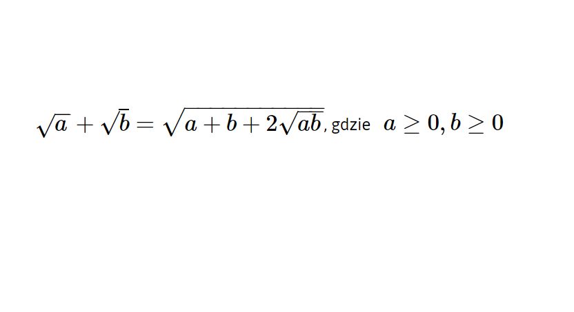
Wzór na sumę pierwiastków:

Wzór na sumę pierwiastków
Wzór na sumę pierwiastków

Zapis oznacza, że liczby a oraz b są większę lub równe 0.

Wzór na mnożenie pierwiastków:

Wzór na mnożenie pierwiastków
Wzór na mnożenie pierwiastków

A oraz b to liczby, które są większe lub równe 0. Z kolei n oraz m to liczby naturalne z wyłączeniem liczb 0 i 1.

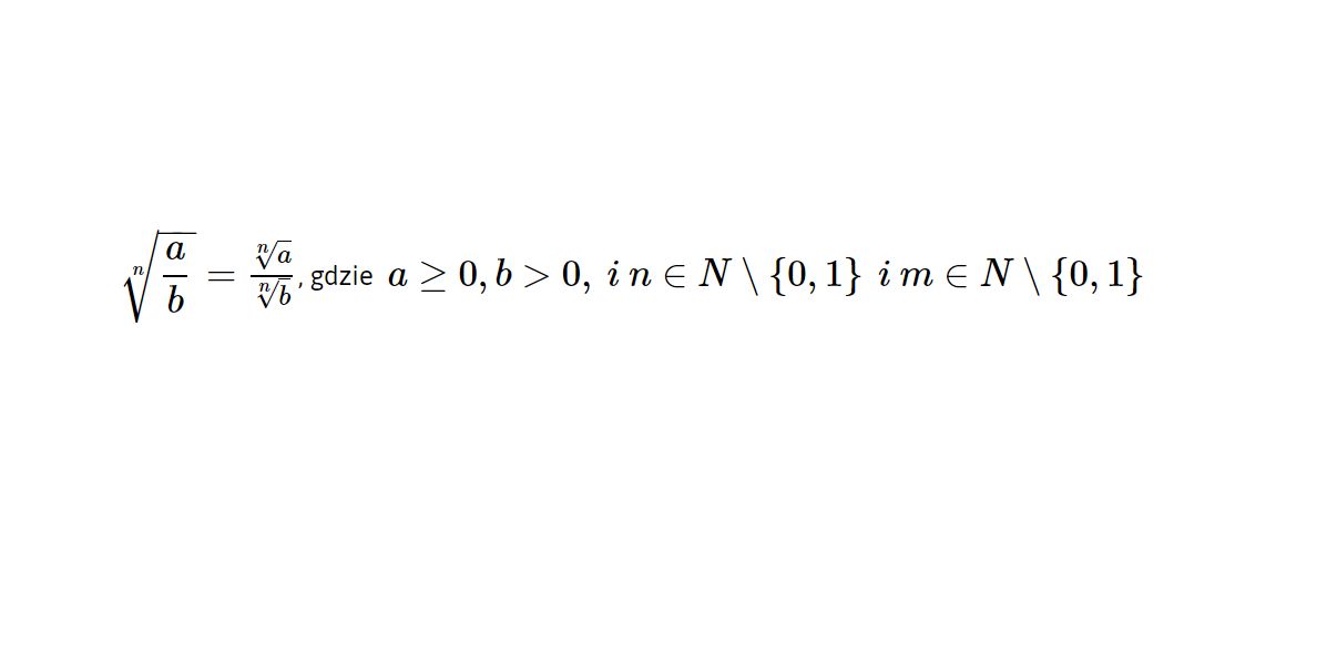
Wzór na dzielenie pierwiastków:

Wzór na dzielenie pierwiastków
Wzór na dzielenie pierwiastków

W powyższym zapisie: a jest liczbą większą lub równą 0.

B to liczba większa od 0.

N oraz m to liczby naturalne z wyłączeniem liczb 0 i 1.

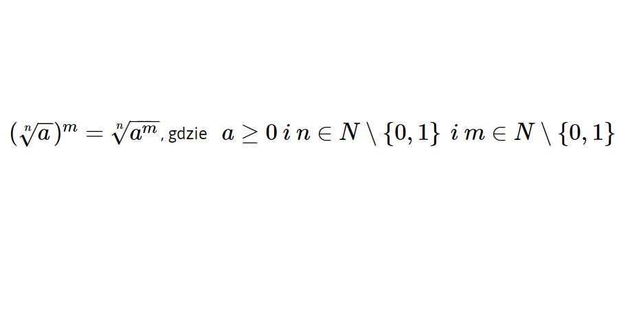
Wzór na potęgę pierwiastka:

Wzór na potęgę pierwiastka
Wzór na potęgę pierwiastka

Gdzie a jest liczbą większą lub równą 0.

N i m to liczby naturalne z wyłączeniem liczb 0 i 1.

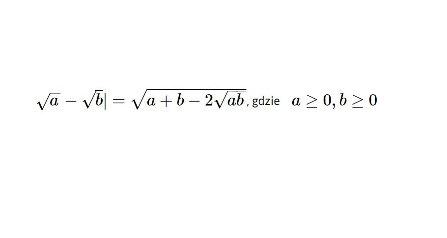
Wzór na wartość bezwzględną pierwiastków:

Wzór na wartość bezwzględną pierwiastków
Wzór na wartość bezwzględną pierwiastków

Oznacza to, że liczby a i b są większe bądź równe 0.

Wybrane dla Ciebie
Odkryli jedną z możliwych przyczyn poronień. Naukowcy wskazali na rolę metabolizmu
Odkryli jedną z możliwych przyczyn poronień. Naukowcy wskazali na rolę metabolizmu
Gorączka bez objawów? Eksperci tłumaczą, co może się za tym kryć
Gorączka bez objawów? Eksperci tłumaczą, co może się za tym kryć
Kobiety w patowej sytuacji. Odstawienie tych leków przed ciążą zwiększa ryzyko tycia
Kobiety w patowej sytuacji. Odstawienie tych leków przed ciążą zwiększa ryzyko tycia
Emoji jako wołanie o pomoc. KidsAlert ujawnia ukryty język dzieci w internecie
Emoji jako wołanie o pomoc. KidsAlert ujawnia ukryty język dzieci w internecie
Dwulatek po hipotermii wrócił do zdrowia. "Cud zespołowej pracy"
Dwulatek po hipotermii wrócił do zdrowia. "Cud zespołowej pracy"
Przełomowe wytyczne dotyczące cukrzycy w ciąży. 27 kluczowych rekomendacji WHO
Przełomowe wytyczne dotyczące cukrzycy w ciąży. 27 kluczowych rekomendacji WHO
Dwa produkty dla dzieci wycofane z dużych sieciówek. Stanowią realne zagrożenie
Dwa produkty dla dzieci wycofane z dużych sieciówek. Stanowią realne zagrożenie
Liczba dzieci z nadciśnieniem się podwoiła. Eksperci alarmują
Liczba dzieci z nadciśnieniem się podwoiła. Eksperci alarmują
Barwniki w żywności zagrażają zdrowiu dzieci. Naukowcy alarmują o skali problemu
Barwniki w żywności zagrażają zdrowiu dzieci. Naukowcy alarmują o skali problemu
Oglądanie TV a późniejsze objawy ADHD. Brytyjczycy doszli do ciekawych wniosków
Oglądanie TV a późniejsze objawy ADHD. Brytyjczycy doszli do ciekawych wniosków
Finlandia uczy tego już przedszkolaków. Dlaczego Polska powinna wziąć z niej przykład?
Finlandia uczy tego już przedszkolaków. Dlaczego Polska powinna wziąć z niej przykład?
Autyzm a COVID-19. Naukowcy odkryli powiązanie, wyniki są niepokojące
Autyzm a COVID-19. Naukowcy odkryli powiązanie, wyniki są niepokojące