Układ równań. Jakie są metody rozwiązywania układów równań?

Układ równań to co najmniej dwa równania połączone w układ za pomocą klamry. Rozwiązywaniem układów równań zajmowano się już w starożytności, a metody rozwiązywania ich przez ówczesnych rachmistrzów niewiele się różnią od metod stosowanych dzisiaj. Jak rozwiązać układ równań? Kiedy układ równań jest sprzeczny? Kiedy układ równań jest nieoznaczony? Oto co każdy uczeń powinien wiedzieć na ten temat.

Układ równań to koniunkcja pewnej liczby równańUkład równań to koniunkcja pewnej liczby równań
Źródło zdjęć: © Adobe Stock
Ewa Rosiecka

Co to jest układ równań?

Układ równań to koniunkcja pewnej liczby (być może nieskończonej) równań. Równania te połączone są w układ za pomocą klamry. Rozwiązywaniem ich zajmowano się już ponad 3 tysiące lat temu. Najstarsze przykłady układów równań znaleziono na glinianych tabliczkach, odkrytych w czasie wykopalisk archeologicznych na terenach starożytnej Babilonii.

Układy te zapisane były pismem klinowym i w niczym nie przypominały współczesnej symboliki matematycznej, jednak metody rozwiązywania ich przez starożytnych matematyków mają wiele wspólnego z metodami stosowanymi w dzisiejszych czasach.

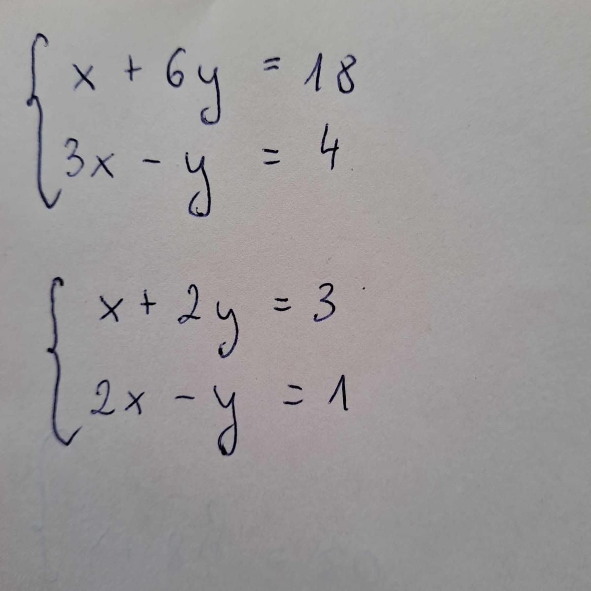
Przykładowe układy równań:

Obraz

Rozwiązaniem układu równań jest każde przyporządkowanie wartości (w przypadku układu równań algebraicznych - liczb, w przypadku układu równań funkcyjnych- funkcji, itd.) niewiadomym, spełniającym każde z równań składowych. Inaczej mówiąc, rozwiązaniem układu równań jest wspólna część zbiorów rozwiązań tych wszystkich równań.

Rodzaje układów równań

Z uwagi na ilość rozwiązań, jakie posiadają układy równań, możemy podzielić je na:

  • układ równań oznaczony - posiada tylko jedno rozwiązanie;
  • układ równań nieoznaczony - ma nieskończenie wiele rozwiązań;
  • układ równań sprzeczny - nie posiada rozwiązań.

Sposoby rozwiązywania układów równań

Do rozwiązywania układów równań stosuje się następujące metody:

  • metodę podstawiania;
  • metodę wyznaczników;
  • metodę przeciwnych współczynników;
  • metodę graficzną.

Najpopularniejsze sposoby to metoda podstawiania i metoda przeciwnych współczynników, za ich pomocą rozwiązuje się większość przypadków. Najmniej dokładna jest metoda graficzna, gdyż nierówno narysowany wykres może powodować trudności w odczytaniu właściwego wyniku.

Metoda wyznaczników jest sposobem zaawansowanym, dla dwóch równań z dwiema niewiadomymi. Sposób ten jest dość prosty, można też rozbudować go do trzech, czterech, a nawet tysiąca równań, zależnie od potrzeb.

Wybrane dla Ciebie
Bezpieczny przyjaciel dziecka. Redakcja testuje lampkę Rabbit & Friends: Miś Duży, Świecący w Ciemności
Bezpieczny przyjaciel dziecka. Redakcja testuje lampkę Rabbit & Friends: Miś Duży, Świecący w Ciemności
Pierwsza taka "karcianka". Moc zabawy dla całej rodziny
Pierwsza taka "karcianka". Moc zabawy dla całej rodziny
Redakcja testuje wyjątkową lampkę. Miś Chrapuś oddycha wraz z dzieckiem i przyjemnie wycisza
Redakcja testuje wyjątkową lampkę. Miś Chrapuś oddycha wraz z dzieckiem i przyjemnie wycisza
Śniadaniówki polskich uczniów pod lupą. Woda i kanapki na plus, ale warzywa wciąż w tyle
Śniadaniówki polskich uczniów pod lupą. Woda i kanapki na plus, ale warzywa wciąż w tyle
Magnetyczna frajda dla maluchów. Sprawdziliśmy klocki SmartMax
Magnetyczna frajda dla maluchów. Sprawdziliśmy klocki SmartMax
Lampka w pokoju dziecka: mały detal, a robi wielką różnicę. Sprawdzamy modele Mary’s
Lampka w pokoju dziecka: mały detal, a robi wielką różnicę. Sprawdzamy modele Mary’s
Konkurs "Świat Przyjazny Dziecku" rozstrzygnięty. Kapituła wybrała laureatów XXIV edycji
Konkurs "Świat Przyjazny Dziecku" rozstrzygnięty. Kapituła wybrała laureatów XXIV edycji
"Mózgi są zalewane smartfonową dopaminą". Ważne wyniki badania
"Mózgi są zalewane smartfonową dopaminą". Ważne wyniki badania
Kreatywność nie ma ograniczeń. Kort tenisowy zamieniony w Świąteczną Strefę Zabawy
Kreatywność nie ma ograniczeń. Kort tenisowy zamieniony w Świąteczną Strefę Zabawy
"Survival rodzicielski". Zakupy z dziećmi bywają wyzwaniem. Jak sobie z tym radzić?
"Survival rodzicielski". Zakupy z dziećmi bywają wyzwaniem. Jak sobie z tym radzić?
Rodzice i dzieci mijają się w rozmowie. Kampania Mów Do Mnie #TokTuMi pokazuje skalę problemu
Rodzice i dzieci mijają się w rozmowie. Kampania Mów Do Mnie #TokTuMi pokazuje skalę problemu
Odkryli jedną z możliwych przyczyn poronień. Naukowcy wskazali na rolę metabolizmu
Odkryli jedną z możliwych przyczyn poronień. Naukowcy wskazali na rolę metabolizmu